应战传统数值算法
NFM团队 投稿
量子位 | 公众号 QbitAI
机器学习让计算机图形学(CG)仿真更实在了!
办法名为神经流向图(Neural Flow Maps,NFM),四个涡旋的烟雾也能准确模仿的那种:
更为复杂的也能轻松完结:
要知道,在这个AI使用满天飞的时代,CG物理仿真仍然是传统数值算法的全国。
△NFM模仿“蛙跳”
虽然神经网络使用在CG能发明目眩神迷的视觉作用,它却无法严格、鲁棒地描述物理性质。
△NFM模仿“墨滴”
也正是因而,依据神经网络的物理仿真至今还处于概念验证(proof of concept)的阶段,所生成的作用也远非SOTA。
依据这个难题,来自达特茅斯学院、佐治亚理工学院以及斯坦福大学的研究团队提出了神经流向图这一新办法,经过将神经网络的优异性质与先进的物理模型相结合,一起达到了史无前例的视觉作用和物理准确性。
该论文发表于图形学顶刊ACM Transactions on Graphics(TOG),并获SIGGRAPH Asia 2023最佳论文。
NFM长啥样?
研究团队的核心观念是:想使用AI去更好地解决物理问题,就不能限制地将可学习模块(learnable modules)嵌入已有的办法结构(例如SPH,stable fluids)中。
现有办法是针对传统数值办法的才能范畴量身定制的,也正因为如此,机器学习的发展所提出的一系列的全新的才能(例如NeRF对时空信号的紧凑表达),往往在已有的结构中找不到用武之地。
因而,研究人员认为与其套用AI在现有的结构中,不如依据AI提出的新才能,来规划数学和数值的新结构,然后最大化这些才能的价值。
物理模型
依据上述思路,研究人员经过对物理和AI进行协同规划(co-design),构建一个超越SOTA的流体模仿器。
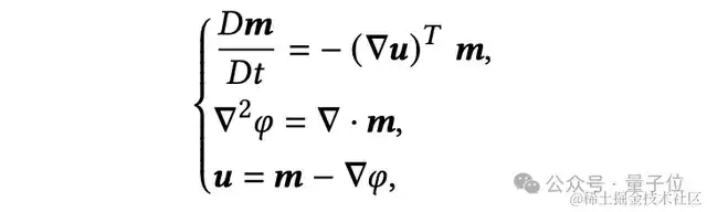
物理部分,NFM首要使用了一套依据冲量的(impulse-based)流体方程,经过对常见的欧拉方程进行度规改换(gauge transformation),确立了速度场与流向图(flow map)以及其空间导数的关系。
换言之,只需能够得到准确的flow map数值解,那么演化的速度场就能够被准确的重构出来。
为了最准确地计算flow map,NFM提出了一个精心规划的“双向行进”(bidirectional marching)数值算法。
该算法比已有算法的精度高出3至5个数量级,但它一起也要求存储长时刻的时空(spatiotemporal)速度场。
对大规模3D模仿来说,存储单帧的速度场姑且存在应战,存储数十上百帧的速度场则全然不可行。因而“双向行进”的算法虽然精准,但用传统的手法却无法完结。
神经网络存储
NFM巧妙地结合了依据流向图的物理模型对于存储高精度速度场的需求,和隐式神经表明(implicit neural representation,或INR)进行高质量时空信号紧缩的才能,让上述高度准确但无法完结的模仿办法变得可行。
INR通常对每个场景只需练习一次,但NFM却把它用作一个中心变量在模仿的过程中不断的进行更新,这也对INR的功能提出了更苛刻的要求。
针对这点,NFM提出了一种称作SSNF的新式高功能INR。
经过主动规划空间稀少存储中每个格点的开启状况,以及一个依据Lagrange多项式的时刻处理方案,SSNF达到了比Instant-NGP、KPlanes等办法更快的收敛速度,更高的紧缩比,以及更高的存储精度。
拿下最新SOTA
试验结果表明,作为一个依据AI的模仿器,NFM显著地超越了SOTA办法:bimocq、covector fluids以及MC+R。
在2D点涡(point vortex)坚持的试验中,NFM的均匀绝对误差比照其他三者减少了最少14,最多308倍。
在3D蛙跳(leapfrogging vortices)试验中,NFM也显著提升了能量守恒的才能。
一起,这种数值才能体现为对自然现象的更好模仿:依据物理定律,蛙跳中的两对涡管将永不融和,而NFM的两个涡管在完结5次蛙跳后仍然坚持分离,比照的办法至多在3次之后就彻底融和。
最终,文章还经过一系列算例(如固体交互,瑞利泰勒不稳定性,涡管重连等)展现了NFM在创造复杂视觉作用上的优越性。
在这个层面上值得注意的是,虽然都是使用AI赋予流体更多的细节,现有的AI超分辨率算法只能提升画面细节,但NFM却打破性地以物理的方法提升了动力学细节,然后底子性地提高了流体模仿的实在度。
项目链接:yitongdeng-projects.github.io/neural_flow…














